Stawki opłat dystrybucyjnych

Taryfy i ceny dystrybucji energii elektrycznej na terenie działania TAURON Dystrybucja S.A.

Taryfa 2026

TAURON Dystrybucja S.A. - Operator Systemu Dystrybucyjnego Elektroenergetycznego informuje, że od dnia 1 stycznia 2026 r. na podstawie Decyzji Prezesa Urzędu Regulacji Energetyki nr DRE.WRE.4211.54.8.2025.ASa1 z dnia 17 grudnia 2025 r. ulega zmianie Taryfa dla usług dystrybucji energii elektrycznej, obowiązująca na terenie działania Spółki.

Zobacz:

Zawartość strony jest regionalizowana

Proszę wpisać pierwsze znaki nazwy miejscowości (min. 3) i wybrać z listy lub wpisać kod pocztowy, aby dokonać regionalizacji.
  • Operator monitoruje pobór mocy czynnej pobieranej przez odbiorcę, zwanej dalej: „mocą pobraną”, i mocy czynnej oddawanej do sieci przez podmiot przyłączony oraz wyznacza wielkości nadwyżek mocy pobranej ponad moc umowną określoną w Umowie. Nadwyżki mocy czynnej wyznacza się dla każdej godziny okresu rozliczeniowego, ze średnich wartości tej mocy rejestrowanych w okresach piętnastominutowych lub dla każdej godziny okresu rozliczeniowego, ze średnich wartości tej mocy rejestrowanych w okresach godzinowych, o ile układy pomiarowo-rozliczeniowe uniemożliwiają rejestrację w cyklu piętnastominutowym, lub jako maksymalną wielkość tej nadwyżki mocy wyznaczoną w okresie rozliczeniowym, o ile układy pomiarowo-rozliczeniowe uniemożliwiają rejestrację w cyklu piętnastominutowym i godzinowym.

    Przekroczenie mocy umownej

    Za przekroczenie mocy umownej, określonej w Umowie, pobierana jest opłata w wysokości stanowiącej iloczyn składnika stałego stawki sieciowej oraz:

    sumy dziesięciu największych wielkości nadwyżek mocy pobranej ponad moc umowną, albo dziesięciokrotności maksymalnej wielkości nadwyżki mocy pobranej ponad moc umowną zarejestrowanej w okresie rozliczeniowym, jeżeli układy pomiarowo-rozliczeniowe nie pozwalają na zastosowanie sposobu wskazanego w lit. a). 
    Opłata, o której mowa w pkt. 4.2.10., jest ustalana i pobierana za każdy miesiąc w którym nastąpiło przekroczenie, z wyjątkiem przypadku, o którym mowa w pkt. 4.2.10. lit. b), gdy opłata jest ustalana i pobierana w okresie rozliczeniowym.

    Różna wielkość mocy w poszczególnych miesiącach roku

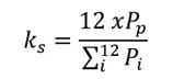
    W przypadku  złożenia przez Odbiorcę zamówienia  mocy  umownej w różnej wielkości na poszczególne miesiące roku, OSD będzie prowadził rozliczenia z tytułu składnika stałego stawki sieciowej i opłaty przejściowej z zastosowaniem współczynnika korygującego ks , stanowiącego mnożną do miesięcznych wielkości mocy umownych przyjmowanych do rozliczeń dla okresu objętego zamówieniem mocy. Współczynnik korygujący ks ustala OSD na podstawie następującego wzoru:

    wzór na ks

            gdzie:    ks – współczynnik korygujący,
                           Pp – największa zgłoszona wartość mocy umownej na okres rozliczeniowy w danym roku [kW],
                           Pi – moc umowna w danym miesiącu roku [kW]

    Wysokość współczynnika ks zostanie przekazywana Sprzedawcy w odpowiedzi na zamówienie mocy umownej

  • Co to jest ponadumowny pobór energii biernej i kto podlega opłatom

    Przez ponadumowny pobór energii biernej przez odbiorcę rozumie się ilość energii elektrycznej biernej odpowiadającą: 

    a) współczynnikowi mocy tgφ wyższemu od umownego współczynnika  tgφ0 (niedokompensowanie) i stanowiącą nadwyżkę energii biernej indukcyjnej ponad ilość odpowiadającą wartości współczynnika tgφ0 lub
    b) indukcyjnemu współczynnikowi mocy przy braku poboru energii elektrycznej czynnej lub
    c) pojemnościowemu współczynnikowi mocy (przekompensowanie) zarówno przy poborze energii elektrycznej czynnej, jak i przy braku takiego poboru.

    Rozliczeniami za pobór energii biernej są objęci odbiorcy zasilani z sieci średniego, wysokiego i najwyższego napięcia. Rozliczeniami tymi mogą być objęci, także odbiorcy zasilani z sieci o napięciu znamionowym nie wyższym niż 1 kV.

    Dlaczego ponadumowny pobór energii biernej podlega kontroli i opłatom

    Ponadumowny pobór energii biernej przez odbiorcę zarówno o charakterze indukcyjnym, jak również pojemnościowym zwiększa wielkość prądu płynącego w sieci dystrybucyjnej i ma niekorzystny wpływ na parametry jakościowe energii elektrycznej. Ponadumowny pobór energii biernej indukcyjnej powoduje spadki napięcia, natomiast pobór energii biernej o charakterze pojemnościowym skutkuje wzrostem napięcia. Zmienny w ciągu doby charakter poboru energii biernej z indukcyjnego na pojemnościowy i odwrotnie, wiąże się z wahaniami napięcia w sieci niskiego napięcia i może skutkować przekroczeniem wymaganych parametrów napięcia zasilającego.

    Przepływ zbyt dużej ilości energii biernej w sieci elektroenergetycznej zwiększa straty energii, powoduje konieczność instalowania przez nas dodatkowych urządzeń, przewodów o większych przekrojach, zmniejsza przepustowość sieci elektroenergetycznych, a także powoduje spadki napięć w transformatorach i liniach zasilających. Z kolei wzrost napięcia w przypadku poboru energii biernej o charakterze pojemnościowym może spowodować brak możliwości wprowadzania energii czynnej przez prosumentów na skutek działania zabezpieczeń nadnapięciowych.

    TAURON Dystrybucja S.A. jako operator systemu dystrybucyjnego jest prawnie zobowiązany do zapewnienia odbiorcom właściwych parametrów jakościowych dostarczanej energii elektrycznej. Jednym z działań mających na celu realizację tego obowiązku jest kontrolowanie i ograniczanie ponadumownego poboru energii biernej przez odbiorców.

    W jaki sposób dokonujemy kontroli ponadumownego poboru energii biernej

    Użytkowanie odbiorników o charakterze indukcyjnym lub pojemnościowym ma niekorzystny wpływ na pracę sieci dystrybucyjnej i może skutkować ponadumownym poborem energii biernej. Odbiorca we wszystkich strefach czasowych podlega kontroli poboru energii biernej, o ile zainstalowany u odbiorcy układ pomiarowo-rozliczeniowy umożliwia dokonywanie kontroli tego parametru. W przeciwnym przypadku OSD może dokonać wymiany tego układu na swój koszt. Informację o rozpoczęciu kontroli stanowić będzie pozycja na fakturze, wskazująca ilość pobranej energii biernej.

    Zasady naliczania opłat za ponadumowny pobór energii biernej indukcyjnej w przypadku przekroczenia umownego współczynnika tgφ0 (niedokompensowanie)

    Opłacie podlega w okresie rozliczeniowym:
    ponadumowny pobór energii biernej określony jako nadwyżka tej energii ponad ilość odpowiadającą wartości współczynnika tgφ0 - gdy tgφ > tgφ0, 
    ponadumowne wprowadzanie energii biernej określone jako nadwyżka tej energii ponad ilość odpowiadającą wartości współczynnika tgφ0 = 0.

    zmierzona w strefach, w których jest prowadzona kontrola poboru tej energii lub całodobowo w zależności od rodzaju zainstalowanego układu pomiarowego. 

    Wartość współczynnika mocy tgφ0 określa się w warunkach przyłączenia lub w Umowie. 

    Wartość współczynnika mocy przyjmuje się w wysokości tgφ0 = 0,4, chyba że indywidualna ekspertyza uzasadnia wprowadzenie niższej wartości, jednak w żadnym przypadku wartość współczynnika mocy tgφ0 nie może być niższa od wartości 0,2. Jeżeli wartość współczynnika tgφ0 nie została określona w warunkach przyłączenia lub w Umowie, do rozliczeń przyjmuje się wartość tgφ0 = 0,4. 

    Wartość współczynnika mocy tgφ określa się, jako iloraz energii biernej pobranej całodobowo lub w strefach czasowych, w których jest dokonywana kontrola poboru energii biernej [w Mvarh lub kvarh] i energii czynnej pobranej całodobowo lub w strefach czasowych, w których jest dokonywana ta kontrola [w MWh lub kWh], z zastrzeżeniem uzasadnionych przypadków, w których występują szybkozmienne obciążenia mocą bierną.

    Opłatę za nadwyżkę energii biernej pobranej ponad ilość wynikającą ze współczynnika tgφ0 w okresie rozliczeniowym, całodobowo lub dla stref czasowych, w których jest prowadzona kontrola poboru tej energii, oblicza się według wzoru: 
     
    wzór na współczynnik tgφ0

    gdzie poszczególne symbole oznaczają:
    Ob – opłatę za nadwyżkę energii biernej, wyrażoną w złotych
    Crk - cenę energii elektrycznej, o której mowa w art. 23 ust. 2 pkt. 18 lit. b) ustawy, obowiązującą w dniu zatwierdzenia Taryfy, wyrażoną w zł/MWh lub w zł/kWh,
    k - krotność ceny Crk
    tgφ - współczynnik mocy wynikający z pobranej energii biernej
    tgφ0 - umowny współczynnik mocy
    A - energię czynną pobraną całodobowo lub dla strefy czasowej, w której jest prowadzona kontrola poboru energii biernej, wyrażoną w MWh lub w kWh.

    W uzasadnionych przypadkach, przy występowaniu szybkozmiennych obciążeń mocą bierną, rozliczanie ponadumownego poboru energii biernej ponad wartość współczynnika tgj0 przeprowadzane jest na podstawie bezpośredniego pomiaru nadwyżki energii biernej. Opłata w okresie rozliczeniowym naliczana jest zgodnie z powyższym wzorem, z uwzględnieniem współczynnika tgφ, ustalonego według następującego wzoru:
     
    wzór na współczynnik tgφ


    gdzie poszczególne symbole oznaczają:
    ΔEb - nadwyżkę energii biernej wykazanej przez urządzenie pomiarowe w okresie rozliczeniowym, wyrażoną w Mvarh lub w kvarh
    tgφ0 - umowny współczynnik mocy
    A - energię czynną pobraną całodobowo lub dla strefy czasowej, w której jest prowadzona kontrola poboru energii biernej, wyrażoną w MWh lub w kWh.
     

    Zasady naliczania opłat w przypadku poboru energii biernej indukcyjnej przy braku poboru energii czynnej oraz w przypadku poboru energii biernej pojemnościowej (przekompensowanie) zarówno przy poborze energii elektrycznej czynnej, jak i przy braku takiego poboru

    Odbiorca ponosi w okresie rozliczeniowym opłatę wynikającą z iloczynu całej ilości energii biernej, współczynnika krotności „k” oraz ceny energii elektrycznej [w zł/MWh lub zł/kWh], o której mowa w art. 23 ust. 2 pkt. 18 lit. b) ustawy, obowiązującej w dniu zatwierdzenia Taryfy.

    wzór na opłatę za nadwyżkę energii biernej

    gdzie poszczególne symbole oznaczają:
    Ob – opłatę za nadwyżkę energii biernej, wyrażoną w złotych
    Eb - ilość energii biernej wykazanej przez urządzenie pomiarowe w okresie rozliczeniowym,
    Crk - cenę energii elektrycznej, o której mowa w art. 23 ust. 2 pkt. 18 lit. b) ustawy, obowiązującą w dniu zatwierdzenia Taryfy, wyrażoną w zł/MWh lub w zł/kWh,
    k - krotność ceny Crk

    Z czego wynika cena Crk

    Zgodnie z art. 23 ust. 2 pkt. 18 lit. b) ustawy Prawo energetyczne, do dnia 31 marca każdego roku Prezes Urzędu Regulacji Energetyki ogłasza średnią ceny sprzedaży energii elektrycznej na rynku konkurencyjnym (Crk) oraz sposób jej obliczenia. Realizacja tego obowiązku jest wyłączną kompetencją Prezesa URE. Informacja o cenie Crk jest oficjalnie publikowana przez Prezesa URE na stronie internetowej www.ure.gov.pl w zakładce „Komunikaty Prezesa URE”.


    Wielkość współczynnika „k”

    Współczynnik krotności „k” wynosi:
    kNN/110 = 0,50 – dla odbiorców przyłączonych do sieci NN i 110 kV;
    kSN = 1,00 – dla odbiorców przyłączonych do sieci SN;
    knN = 3,00 – dla odbiorców przyłączonych do sieci nN.

    Szczególne przypadki w rozliczeniach ponadumownego poboru energii biernej

    Jeżeli dostarczanie energii elektrycznej odbywa się z kilku miejsc dostarczania, opłatę za ponadumowny pobór energii biernej oblicza się oddzielnie dla każdego miejsca dostarczania.

    W przypadku gdy konfiguracja sieci oraz miejsce zainstalowania układów pomiarowo- rozliczeniowych nie odwzorowują rzeczywistych rozpływów mocy oraz energii biernej pobieranej lub oddawanej do sieci Operatora, wielkość energii biernej podlegającą rozliczeniu ustala się na podstawie odpowiednich pomiarów właściwych dla miejsca dostarczania, przeprowadzonych przez Operatora, odbiorcę lub niezależną jednostkę, w sposób przez nie uzgodniony, o ile Umowa nie stanowi inaczej.

    Odbiorca pobierający energię elektryczną z kilku miejsc dostarczania objętych sumującym układem pomiarowo-rozliczeniowym rozliczany jest za zwiększony pobór energii biernej odrębnie dla tych miejsc dostarczania. Jeśli warunki poboru energii biernej dla poszczególnych miejsc dostarczania nie są zróżnicowane w stopniu uzasadniającym przeprowadzenie odrębnych rozliczeń, Operator może dokonywać rozliczeń łącznie dla wszystkich miejsc dostarczania objętych sumującym układem pomiarowo-rozliczeniowym.