Energia bierna

Jeśli prowadzisz biznes, ale przekraczasz ustalony poziom energii biernej, możesz ponieść dodatkowe opłaty za ponadumowny pobór energii biernej. 

W tym miejscu dowiesz się, co to jest energia bierna oraz dlaczego i w jaki sposób naliczamy Ci opłaty za jej przekroczenie?
 

Czym jest energia bierna?

Energia bierna to obowiązkowy element funkcjonowania urządzeń elektrycznych, często niedostrzegalny dla użytkowników. Jest niezbędna do pracy urządzeń, jak silniki czy klimatyzatory, które oprócz energii czynnej wymagają energii biernej do podtrzymania pola elektromagnetycznego. 

Urządzenia, które używasz, mogą pobierać zarówno energię czynną, jak i bierną. Energia czynna to ta, którą urządzenie zamienia na pracę użyteczną (ruch, ciepło itp.). Natomiast energia bierna jest potrzebna, aby urządzenie mogło w ogóle pracować. 

Dla przykładu, silnik elektryczny wentylatora zużywa energię czynną, żeby poruszać śmigłem. Jednak żeby mogło do tego dojść, potrzebuje energii biernej. Dzięki niej podtrzymuje pole elektromagnetyczne, które pozwala energii czynnej napędzić śmigło. Energia bierna nie jest więc zużywana, ale jest cały czas przesyłana pomiędzy urządzeniem a naszą siecią, obciążając ją tak samo jak energia czynna. 

Energię bierną dzielimy na: 

a) energię bierną indukcyjną (znak dodatni), którą pobierają urządzenia, takie jak:
     silniki elektryczne;   klimatyzatory;   urządzenia chłodnicze itp.
b) energię bierną pojemnościową (znak ujemny), którą pobierają urządzenia, takie jak:
     zasilacze komputerowe; ładowarki;oświetlenie LED itp.
Energia bierna to część energii, która krąży między źródłem a odbiornikiem, nie zamieniając się na pracę. Nie możesz jednak pobierać energii czynnej bez energii biernej. 

Mimo, że możesz nie odczuwać jej poboru w trakcie pracy urządzeń, energia bierna obciąża sieć energetyczną w coraz większym stopniu i dlatego odzwierciedlamy tę sytuację również w Twoich rachunkach za prąd. 

Kiedy zaczniesz oddawać do sieci znaczne ilości energii biernej, wysokość tej opłaty rośnie i często dopiero wówczas możesz zwrócić swoją uwagę na ten składnik faktury za prąd.

Kogo dotyczą opłaty?

Opłata ta nie dotyczy gospodarstw domowych, a jedynie klientów korzystających z sieci średniego, wysokiego i najwyższego napięcia, a także może dotyczyć odbiorców zasilanych z sieci o napięciu znamionowym nie wyższym niż 1 kV. 

Skąd wynikają opłaty?

Opłaty za energię bierną naliczamy dopiero w przypadku przekroczenia określonych poziomów poboru. Kluczowym wskaźnikiem jest współczynnik tgφ, którego wartość określamy w Twojej umowie lub Taryfie. W dużym uproszczeniu współczynnik ten określa w jakim stosunku do energii czynnej możesz pobierać energię bierną. 

Zgodnie z Taryfą nie powinieneś:

pobierać energii biernej indukcyjnej ze współczynnikiem tgφ większym niż 0,4, wprowadzać energii biernej pojemnościowej do naszej sieci (współczynnik tgφ nie powinien być mniejszy niż 0).
Opłaty za energię bierną pojemnościową są zależne od jej ilości zmierzonej przez licznik, średniej ceny sprzedaży energii elektrycznej dwa lata wstecz i wskaźnika, który dla odbiorców przyłączonych do sieci niskiego napięcia wynosi 3. 

Jeśli Twoje urządzenia pracują ze współczynnikiem tgφ jak powyżej, nie naliczamy Ci dodatkowych opłat za energię bierną. Jeśli jednak przekroczysz współczynnik tgφ, zgodnie z prawem* i Taryfą, którą zatwierdza Urząd Regulacji Energetyki, naliczymy Ci opłaty za ponadumowny pobór energii biernej. 


*Podstawy prawne:
Rozporządzenie Ministra Klimatu i Środowiska z dnia 22 marca 2023 r. w sprawie szczegółowych warunków funkcjonowania systemu elektroenergetycznego (Dz.U. z 2023 r., poz. 819).
Rozporządzenie Ministra Energii z dnia 6 marca 2019 r. w sprawie szczegółowych zasad kształtowania i kalkulacji taryf oraz rozliczeń w obrocie energią elektryczną (Dz.U. poz. 503 ze zmianami).


Co to jest ponadumowny pobór energii biernej?

Ponadumowny pobór energii biernej przez odbiorcę to ilość energii elektrycznej biernej odpowiadająca: 

współczynnikowi mocy tgφ wyższemu od umownego współczynnika  tgφ0 (niedokompensowanie) i stanowiąca nadwyżkę energii biernej indukcyjnej ponad ilość odpowiadającą wartości współczynnika tgφ0 lub indukcyjnemu współczynnikowi mocy przy braku poboru energii elektrycznej czynnej lub pojemnościowemu współczynnikowi mocy (przekompensowanie) zarówno przy poborze energii elektrycznej czynnej, jak i przy braku takiego poboru.
Szczegóły rozliczeń za ponadumowny pobór energii biernej, niezależnie od tego przez jakie urządzenie i w jakim celu została wyprodukowana, znajdziesz w Taryfie.
 


Dlaczego kontrolujemy p
onadumowny pobór energii biernej?

Ponadumowny pobór energii biernej zwiększa wielkość prądu płynącego w sieci dystrybucyjnej i ma niekorzystny wpływ na parametry jakościowe energii elektrycznej. 
 
Ponadumowny pobór energii biernej indukcyjnej powoduje spadki napięcia, natomiast pobór energii biernej o charakterze pojemnościowym - wzrost napięcia. Jeśli w ciągu doby zmienia się charakter poboru energii biernej z indukcyjnego na pojemnościowy i odwrotnie, w sieci powoduje to wahania napięcia i powoduje przekroczenie wymaganych parametrów napięcia zasilającego.

Przepływ zbyt dużej ilości energii biernej w sieci elektroenergetycznej:

zwiększa straty energii, powoduje konieczność instalowania przez nas dodatkowych urządzeń, przewodów o większych przekrojach, zmniejsza przepustowość sieci elektroenergetycznych oraz powoduje spadki napięć w transformatorach i liniach zasilających.
Z kolei wzrost napięcia, w przypadku poboru energii biernej o charakterze pojemnościowym może uniemożliwić prosumentom wprowadzenie energii czynnej, na skutek działania zabezpieczeń nadnapięciowych.

Jako operator systemu dystrybucyjnego jesteśmy prawnie zobowiązani do zapewnienia odbiorcom właściwych parametrów jakościowych dostarczanej energii elektrycznej. Jednym z działań realizującym ten obowiązek jest kontrola i ograniczanie ponadumownego poboru energii biernej przez odbiorców.

Kontrolujemy więc odbiorców we wszystkich strefach, o ile zainstalowany u nich układ pomiarowo-rozliczeniowy umożliwia dokonywanie kontroli tego parametru. W przeciwnym przypadku możemy wymienić taki układ na swój koszt. Jeśli taką kontrolę rozpoczęliśmy, zauważysz na fakturze pozycję, która wskazuje ilość pobranej energii biernej.


Jak rozliczamy Cię za ponadumowny pobór energii biernej?

Jeżeli dostarczamy Ci energię elektryczną z kilku miejsc, opłatę za ponadumowny pobór energii biernej obliczamy oddzielnie dla każdego miejsca dostarczania.

Jeśli konfiguracja sieci oraz miejsce zainstalowania układów pomiarowo- rozliczeniowych nie odwzorowują rzeczywistych rozpływów mocy oraz energii biernej pobieranej lub oddawanej do sieci, ustalamy wielkość energii biernej na podstawie odpowiednich pomiarów właściwych dla miejsca dostarczania. Jeśli umowa na to pozwala, uzgadniamy, czy pomiary te przeprowadzamy my, odbiorca czy niezależna jednostka. 

Jeśli pobierasz energię elektryczną z kilku miejsc dostarczania, objętych sumującym układem pomiarowo-rozliczeniowym, rozliczamy Cię za zwiększony pobór energii biernej odrębnie dla tych miejsc dostarczania. Lecz jeśli warunki poboru energii biernej dla poszczególnych miejsc dostarczania nie są zróżnicowane na tyle, by przeprowadzać odrębne rozliczenia, rozliczymy Cię łącznie dla wszystkich miejsc dostarczania objętych sumującym układem pomiarowo-rozliczeniowym.
Dowiedz się więcej, jak naliczamy opłaty za ponadumowny pobór energii biernej
  • Opłacie podlega w okresie rozliczeniowym:

    ponadumowny pobór energii biernej określony jako nadwyżka tej energii ponad ilość odpowiadającą wartości współczynnika tgφ0 - gdy tgφ > tgφ0,  ponadumowne wprowadzanie energii biernej określone jako nadwyżka tej energii ponad ilość odpowiadającą wartości współczynnika tgφ0 = 0.
    zmierzona w strefach, w których jest prowadzona kontrola poboru tej energii lub całodobowo w zależności od rodzaju zainstalowanego układu pomiarowego. 

    Wartość współczynnika mocy tgφ0 określa się w warunkach przyłączenia lub w Umowie. 

    Wartość współczynnika mocy przyjmuje się w wysokości tgφ0 = 0,4, chyba że indywidualna ekspertyza uzasadnia wprowadzenie niższej wartości, jednak w żadnym przypadku wartość współczynnika mocy tgφ0 nie może być niższa od wartości 0,2. Jeżeli wartość współczynnika tgφ0 nie została określona w warunkach przyłączenia lub w Umowie, do rozliczeń przyjmuje się wartość tgφ0 = 0,4. 

    Wartość współczynnika mocy tgφ określa się, jako iloraz energii biernej pobranej całodobowo lub w strefach czasowych, w których jest dokonywana kontrola poboru energii biernej [w Mvarh lub kvarh] i energii czynnej pobranej całodobowo lub w strefach czasowych, w których jest dokonywana ta kontrola [w MWh lub kWh], z zastrzeżeniem uzasadnionych przypadków, w których występują szybkozmienne obciążenia mocą bierną.

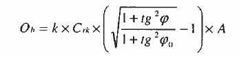
    Opłatę za nadwyżkę energii biernej pobranej ponad ilość wynikającą ze współczynnika tgφ0 w okresie rozliczeniowym, całodobowo lub dla stref czasowych, w których jest prowadzona kontrola poboru tej energii, oblicza się według wzoru: 

     
    wzór

    gdzie poszczególne symbole oznaczają:

    Ob – opłatę za nadwyżkę energii biernej, wyrażoną w złotych
    Crk - cenę energii elektrycznej, o której mowa w art. 23 ust. 2 pkt. 18 lit. b) ustawy, obowiązującą w dniu zatwierdzenia Taryfy, wyrażoną w zł/MWh lub w zł/kWh,
    k - krotność ceny Crk
    tgφ - współczynnik mocy wynikający z pobranej energii biernej
    tgφ0 - umowny współczynnik mocy
    A - energię czynną pobraną całodobowo lub dla strefy czasowej, w której jest prowadzona kontrola poboru energii biernej, wyrażoną w MWh lub w kWh.

    W uzasadnionych przypadkach, przy występowaniu szybkozmiennych obciążeń mocą bierną, rozliczanie ponadumownego poboru energii biernej ponad wartość współczynnika tgj0 przeprowadzane jest na podstawie bezpośredniego pomiaru nadwyżki energii biernej. Opłata w okresie rozliczeniowym naliczana jest zgodnie z powyższym wzorem, z uwzględnieniem współczynnika tgφ, ustalonego według następującego wzoru:

     


    gdzie poszczególne symbole oznaczają:

    ΔEb - nadwyżkę energii biernej wykazanej przez urządzenie pomiarowe w okresie rozliczeniowym, wyrażoną w Mvarh lub w kvarh
    tgφ0 - umowny współczynnik mocy
    A - energię czynną pobraną całodobowo lub dla strefy czasowej, w której jest prowadzona kontrola poboru energii biernej, wyrażoną w MWh lub w kWh.

     
  • Odbiorca ponosi w okresie rozliczeniowym opłatę wynikającą z iloczynu całej ilości energii biernej, współczynnika krotności „k” oraz ceny energii elektrycznej [w zł/MWh lub zł/kWh], o której mowa w art. 23 ust. 2 pkt. 18 lit. b) ustawy, obowiązującej w dniu zatwierdzenia Taryfy.



    gdzie poszczególne symbole oznaczają:

    Ob – opłatę za nadwyżkę energii biernej, wyrażoną w złotych
    Eb - ilość energii biernej wykazanej przez urządzenie pomiarowe w okresie rozliczeniowym,
    Crk - cenę energii elektrycznej, o której mowa w art. 23 ust. 2 pkt. 18 lit. b) ustawy, obowiązującą w dniu zatwierdzenia Taryfy, wyrażoną w zł/MWh lub w zł/kWh,
    k - krotność ceny Crk

    Z czego wynika cena Crk?

    Zgodnie z art. 23 ust. 2 pkt. 18 lit. b) ustawy Prawo energetyczne, do dnia 31 marca każdego roku Prezes Urzędu Regulacji Energetyki ogłasza średnią ceny sprzedaży energii elektrycznej na rynku konkurencyjnym (Crk) oraz sposób jej obliczenia. Realizacja tego obowiązku jest wyłączną kompetencją Prezesa URE. Informacja o cenie Crk jest oficjalnie publikowana przez Prezesa URE na stronie internetowej www.ure.gov.pl w zakładce „Komunikaty Prezesa URE”.


    Wielkość współczynnika „k”

    Współczynnik krotności „k” wynosi:

    kNN/110 = 0,50 – dla odbiorców przyłączonych do sieci NN i 110 kV;
    kSN = 1,00 – dla odbiorców przyłączonych do sieci SN;
    knN = 3,00 – dla odbiorców przyłączonych do sieci nN.


Na co powinieneś zwrócić uwagę jeśli posiadasz fotowoltaikę?

 
Energia bierna jest skutkiem działania urządzeń przyłączonych do systemu elektroenergetycznego, czyli systemu, z którego korzystają wszyscy nasi klienci, również użytkownicy fotowoltaiki (PV). Staramy się im zapewnić oczekiwaną jakość energii elektrycznej czynnej. 

Nadmiar energii biernej ma niekorzystny wpływ na parametry jakościowe energii elektrycznej. Pobór energii biernej o charakterze pojemnościowym powoduje wzrost napięcia. Tego samego napięcia, które przy dużym nasłonecznieniu źródła PV dodatkowo podnoszą. W efekcie tego przekraczają wartości dopuszczalne i doprowadzają do automatycznego wyłączania.

Jeśli posiadasz PV, zwróć szczególną uwagę na to, by kontrolować energię bierną pojemnościową. Falowniki powodują jej przekroczenia i podnoszą napięcie, co w konsekwencji powoduje ograniczenia w funkcjonowaniu tych źródeł.

Jako użytkownik fotowoltaiki zwróć szczególną uwagę, aby: 

utrzymywać pewien poziom energii biernej zgodnie z Taryfą, nie pobierać mocy w wysokości wyższej niż moc umowna. 
 

Jak uniknąć opłat za energię bierną?

Aby uniknąć dodatkowych opłat, możesz skompensować pobór energii biernej. 

Na rynku dostępne są urządzenia, takie jak baterie kondensatorów, które kompensują energię bierną indukcyjną oraz dławiki kompensacyjne, które kompensują energię bierną pojemnościową. Urządzenia te pomagają utrzymać poziom współczynnika tgφ określony w Taryfie. Energia bierna nie będzie wtedy obciążała nadmiarowo naszej sieci energetycznej, a my nie naliczymy Ci dodatkowych opłat. 

Dobór i instalacja tych urządzeń należy do Ciebie. Są one częścią wewnętrznej instalacji zasilającej i nie musisz nam ich zgłaszać.